Note
-
Download Jupyter notebook:
https://docs.doubleml.org/stable/examples/did/py_did_pretest.ipynb.
Python: Difference-in-Differences Pre-Testing#
Remark: This notebook is based on the deprecated version of the DiD implementation of DoubleML. Please check out theDiD Sectionto find out about the current implementation.
This example illustrates how to use the Difference-in-Differences implmentation DoubleMLDID
of the DoubleML package can be used to pre-test the parallel trends assumptions. The example is based on the great implmentation of the did-package in R
. You can find further references and a detailed guide on pre-testing with the did
-package at the did-package
pre-testing documentation.
[1]:
import numpy as np
import pandas as pd
from doubleml import DoubleMLData, DoubleMLDID
from lightgbm import LGBMClassifier, LGBMRegressor
At first, we will generate some data to evaluate the corresponding effect estimates. The DGP is slightly adjusted from did-package pre-testing documentation to consider conditional non-linear parallel trends.
We will consider \(n_{obs}=1000\) units for \(2n_t\) time periods \(t\in\{-n_t, .., n_t - 1\}\), where the treatment is applied just before \(t=0\). The data generating process will take the following form
Here \(\theta_t = t\) denotes a time fixed effect, \(\eta_i\sim \mathcal{N}(0,1)\) is a unit fixed effect, \(X_{it}\sim\mathcal{N}(0, I_4)\in \mathbb{R}^4\) denote ‘pre-treatment’ covariates for the time period \(t\) and \(\epsilon_{it}\sim \mathcal{N}(0,1)\) are independent error terms. Further, \(\mu_{it} \sim \mathcal{N}(\tau,1)\) denote time varying individual effects with \(\tau = (\underbrace{0,\dots,0}_{n_t\ times}, n_t, \dots, 1)^T\) beeing the average effects (coinciding with the ATTE since \(\mu_{it}\) is independent of \(X\).) The treatment indicator \(D_{i}\) denotes whether unit \(i\) was treated between \(t=-1\) and \(t=0\) and is generated as
Finally, the direct effect of the covariates is given via
[2]:
np.random.seed(42)
n_obs = 1000
n_time_periods = 5
time_periods = (np.arange(2*n_time_periods) - n_time_periods)
# fixed effects
theta = np.zeros(shape=(n_obs, 2*n_time_periods)) + time_periods
eta = np.random.normal(loc=0, scale=1, size=(n_obs,1))
# covariates
X = np.random.normal(loc=0, scale=1, size=(n_obs, 4, 2*n_time_periods))
# treatment effects
mu_means = np.concatenate((np.zeros(n_time_periods) , np.arange(n_time_periods, 0, -1)))
mu = np.random.normal(loc=0, scale=1, size=(n_obs, 2*n_time_periods)) + mu_means
# treatment
f_ps = 0.75*(-X[:, 0, 0] + 0.5*X[:, 1, 0] - 0.25*X[:, 2, 0] - 0.1*X[:, 3, 0]*X[:, 2, 0] + np.cos(5*X[:, 1, 0]))
ps = (np.exp(f_ps) / (1 + np.exp(f_ps))).reshape(-1,1)
u = np.random.uniform(low=0, high=1, size=(n_obs,1))
treatment = np.ones(shape=(n_obs, 2*n_time_periods)) * (ps >= u)
# outcome
g_X = (np.exp(X[:, 1, :]) - np.sin(5*X[:, 2, :]) + 2*X[:, 3, :])
epsilon = np.random.normal(loc=0, scale=1, size=(n_obs, 2*n_time_periods))
Y = theta + eta + treatment*mu + g_X + epsilon
Generate a corresponding dataframe
[3]:
# generate dataframe
Y_df = np.hstack(Y)
treatment_df = np.hstack(treatment)
X_df = np.transpose(np.hstack(X))
time_df = np.hstack(np.ones(shape=(n_obs, 2*n_time_periods))*time_periods)
individual_df = np.hstack(np.ones(shape=(n_obs, 2*n_time_periods))*np.arange(n_obs).reshape(-1,1))
data = pd.DataFrame(np.column_stack((Y_df,treatment_df, X_df, time_df, individual_df)),
columns = ['y'] + ['d'] + [f'X_{i}' for i in range(4)] + ['t'] + ['i'])
print(data)
y d X_0 X_1 X_2 X_3 t i
0 -2.354188 1.0 1.399355 1.317394 0.522835 -0.257377 -5.0 0.0
1 -5.045624 1.0 0.924634 0.197600 -0.573700 -1.668584 -4.0 0.0
2 5.014432 1.0 0.059630 2.075261 -0.024355 0.399223 -3.0 0.0
3 -0.002290 1.0 -0.646937 -0.689188 2.142270 0.647196 -2.0 0.0
4 4.024926 1.0 0.698223 1.735964 1.727543 -0.483186 -1.0 0.0
... ... ... ... ... ... ... ... ...
9995 6.412477 1.0 1.152926 -0.405203 -0.654755 0.590320 0.0 999.0
9996 9.881465 1.0 -0.410681 0.698244 -0.132454 0.760915 1.0 999.0
9997 1.591080 1.0 -1.082804 -0.533489 -0.344834 -1.482790 2.0 999.0
9998 13.709026 1.0 0.619454 1.666307 0.304201 1.264086 3.0 999.0
9999 7.230956 1.0 0.336612 1.687854 -1.245720 -0.644799 4.0 999.0
[10000 rows x 8 columns]
We will just rely on LightGBM with a small number of trees.
[4]:
n_estimators = 50
ml_g = LGBMRegressor(n_estimators=n_estimators, num_leaves=5, verbose=-1)
ml_m = LGBMClassifier(n_estimators=n_estimators, num_leaves=5, verbose=-1)
Finally, construct the corresponding DoubleMLData
for each time period and fit a DoubleMLDID
model. Remark thatwe have to include the covariates from both time periods (and they are either pre-treatment or independent of previous outcomes).
[5]:
df = pd.DataFrame(np.nan,
index=range(2*n_time_periods-1),
columns=['lower', 'effect', 'upper'])
df['time'] = time_periods[1:]
df['true_effect'] = mu_means[1:]
np.random.seed(42)
for t_idx, t in enumerate(time_periods[1:]):
if t <= 0:
t_diff = t-1
else:
# compare to outcome before treatment
t_diff = -1
# outcome as the difference for each model
y_diff = data[data['t'] == t]['y'].values - data[data['t'] == t_diff]['y'].values
covariates = np.column_stack((data[data['t'] == t][[f'X_{i}' for i in range(4)]].values, data[data['t'] == t_diff][[f'X_{i}' for i in range(4)]].values))
dml_data = DoubleMLData.from_arrays(x=covariates,
y=y_diff,
d=data[data['t'] == t]['d'].values)
dml_did = DoubleMLDID(dml_data,
ml_g=ml_g,
ml_m=ml_m)
dml_did.fit()
df.at[t_idx, 'effect'] = dml_did.coef
confint = dml_did.confint(level=0.95)
df.at[t_idx, 'lower'] = confint['2.5 %'].iloc[0]
df.at[t_idx, 'upper'] = confint['97.5 %'].iloc[0]
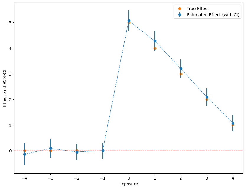
Take a look at the results
[6]:
import matplotlib.pyplot as plt
plt.rcParams['figure.figsize'] = 10., 7.5
fig, ax = plt.subplots()
errors = np.full((2, 2*n_time_periods - 1), np.nan)
errors[0, :] = df['effect'] - df['lower']
errors[1, :] = df['upper'] - df['effect']
plt.errorbar(df['time'], df['effect'], fmt='o', yerr=errors, color='#1F77B4',
ecolor='#1F77B4', label='Estimated Effect (with CI)')
ax.plot(time_periods[1:], df['effect'], linestyle='--', color='#1F77B4', linewidth=1)
# add horizontal line
ax.axhline(y=0, color='r', linestyle='--', linewidth=1)
# add true effect
ax.scatter(x=df['time'], y=df['true_effect'], c='#FF7F0E', label='True Effect')
plt.xlabel('Exposure')
plt.legend()
_ = plt.ylabel('Effect and 95%-CI')
